湖南工业大学包装工程学院官方网站
2017年10月31日 星期二 上午11:24
湖南工业大学
Toggle navigation
学院首页
学院概况
学院简介
机构设置
党群机构
行政部门
教学系部
科研平台
学院领导
师资队伍
师资概况
教师名录
人才培养
本科生培养
本科专业介绍
培养方案
教学管理
硕士生培养
硕士专业
硕士导师
规章制度
博士生培养
博士专业
导师队伍
规章制度
教学成果
学科建设
双一流学科
博士学位授权点
博士后科研流动站
科学研究
科研平台
科研团队
科研成果
实验设备
测试仪器
加工设备
党群工作
党建工作
党建动态
党风廉政建设
党支部动态
党章党规
工会工作
工会简介
组织机构
工会制度
工会动态
招生就业
本科生招生
硕士生招生
博士生招生
就业工作
学生工作
思政教育
心理健康
学生组织
学工动态
学习园地
学风建设专栏
劳动教育专栏
校友之家
校友动态
校友会
通知公告
当前位置:
学院首页
> 正文
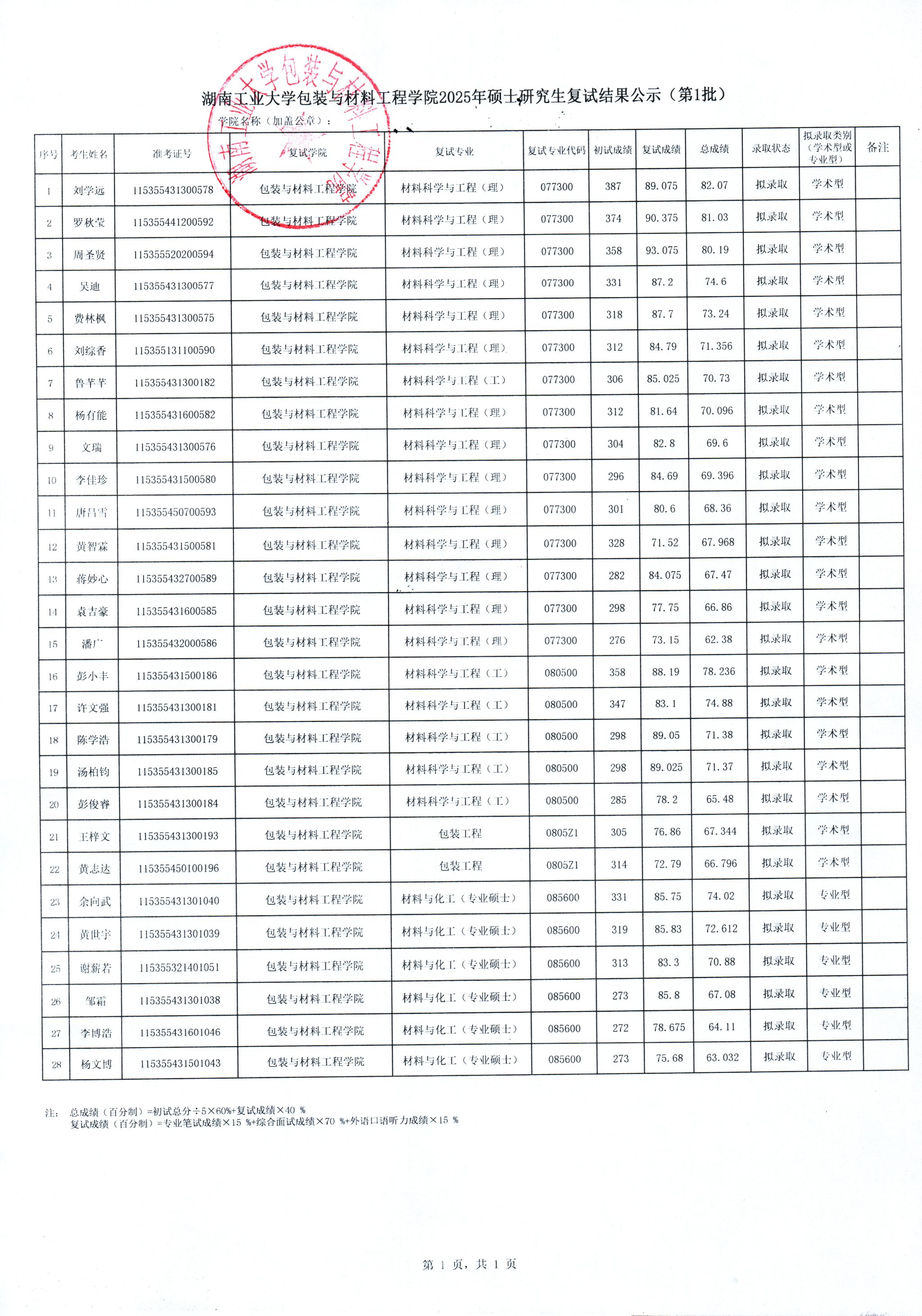
湖南工业大学包装与材料工程学院2025年硕士研究生复试结果公示(第1批)
2025年03月29日 15:04
点击:次
上一篇:
湖南工业大学包装与材料工程学院接收考研调剂生
下一篇:
包装与材料工程学院2025年硕士研究生一志愿考生复试名单
附件【
07湖南工业大学2025年招收攻读硕士学位研究生复试结果公示模板(第 1 批)(学院官网公布).xls
】已下载
次
友情链接
/LINK
湖南工业大学 |
中华人民共和国教育部 |
中华人民共和国科学技术部 |
湖南省教育厅 |
湖南省科技厅 |
国家自然科学基金委员会 |
国家留学基金管理委员会 |
中国包装联合会 |